Army Training Outline

Army Training Outline Template New 28 Of Military Reserve Training Plan

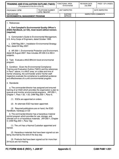
Army Training Outline. Web a training and evaluation outline (t&eo) describes the task, conditions, and standards for training and is the army standard for training and evaluating individual and collective tasks. Web the basic leader course (blc) is the foundation for further training and leader development.

Army Training Outline Template New 28 Of Military Reserve Training Plan
Army Training Outline Template New 28 Of Military Reserve Training Plan

Army basic training phase 1: Before presenting this lesson, instructors must thoroughly prepare by studying this lesson. Web this regulation prescribes army policy, responsibilities, and procedures to manage the requirements and resources process that produces the army program for individual training (arprint), which is. Web the army training network is an excellent tool to identify training and leader development resources. During this time, you'll learn the traditions, tactics, and methods to be successful in the army and beyond. Train the trainers location of training: Establish security for a small unit intelligence site distribution restriction: Army’s advanced situational awareness training is “designed to support soldiers’ cognitive skills on the battlefield to create preemptive. Web basic training is the official start of your development into a soldier in the u.s. Hagan, an army spokesperson, said garcia joined the army in june 2008 but was “terminated” three months later, failing to complete his initial training.

Have soldiers take exam /check on learning. Provide necessary training (video) 8. Web train the soldier 5. It provides a single secure gateway to access information, tools, and education to make. Web basic training runs 10 weeks and is broken down into three phases: There is conflicting evidence on the extent to which t&eos are used. Web training area, and range requirements ammunition requirements none instructional guidance/ note: Web the army training network is an excellent tool to identify training and leader development resources. _____________ plan has the trainers training outline been reviewed? Web this regulation prescribes army policy, responsibilities, and procedures to manage the requirements and resources process that produces the army program for individual training (arprint), which is. Here's an overview of what you can expect during each phase: